suncitygroup

ÉúÒâÌáÐÑ

ת·¢ÖнðËù¹ØÓÚ30ÄêÆÚ¹úÕ®ÆÚ»õºÏÔ¼ÉÏÊÐÉúÒâÓйØÊÂÏîµÄ֪ͨ

04.14 / 2023 ÉúÒâ·ç¿Ø²¿
ÖнðËù·¢ ¡²2023¡³21ºÅ

¸÷»áÔ±µ¥Î»£º

ÖйúÖ¤¼à»áÒÑÔÞ³ÉÖйú½ðÈÚÆÚ»õÉúÒâËù30ÄêÆÚ¹úÕ®ÆÚ»õ×¢²á¡£¡£¡£¡£¡£¡£ÏÖ½«30ÄêÆÚ¹úÕ®ÆÚ»õºÏÔ¼ÉÏÊÐÉúÒâÓйØÊÂÏî֪ͨÈçÏ£º

Ò»¡¢ÉÏÊÐÉúÒâʱ¼ä

30ÄêÆÚ¹úÕ®ÆÚ»õºÏÔ¼×Ô2023Äê4ÔÂ21ÈÕ£¨ÐÇÆÚÎ壩ÆðÉÏÊÐÉúÒâ¡£¡£¡£¡£¡£¡£

¶þ¡¢ÉÏÊÐÉúÒâºÏÔ¼ºÍ¹ÒÅÌ»ù×¼¼Û

30ÄêÆÚ¹úÕ®ÆÚ»õÊ×ÅúÉÏÊкÏԼΪ2023Äê6Ô£¨TL2306£©¡¢2023Äê9Ô£¨TL2309£©ºÍ2023Äê12Ô£¨TL2312£©¡£¡£¡£¡£¡£¡£¸÷ºÏÔ¼¹ÒÅÌ»ù×¼¼ÛÓÉÉúÒâËùÔÚºÏÔ¼ÉÏÊÐÉúÒâǰһÉúÒâÈÕÐû²¼¡£¡£¡£¡£¡£¡£

Èý¡¢ÉúÒâ°ü¹Ü½ðºÍÕǵøÍ£°å·ù¶È

30ÄêÆÚ¹úÕ®ÆÚ»õ¸÷ºÏÔ¼µÄÉúÒâ°ü¹Ü½ðΪºÏÔ¼¼ÛÖµµÄ3.5% £¬£¬£¬£¬£¬£¬×Ô½»¸îÔ·Ý֮ǰµÄÁ½¸öÉúÒâÈÕ½áËãʱÆð £¬£¬£¬£¬£¬£¬ÉúÒâ°ü¹Ü½ð±ê׼ΪºÏÔ¼¼ÛÖµµÄ5%¡£¡£¡£¡£¡£¡£¶Ô2ÄêÆÚ¹úÕ®ÆÚ»õ¡¢5ÄêÆÚ¹úÕ®ÆÚ»õ¡¢10ÄêÆÚ¹úÕ®ÆÚ»õºÍ30ÄêÆÚ¹úÕ®ÆÚ»õµÄ¿çÆ·ÖÖË«Ïò³Ö²Ö £¬£¬£¬£¬£¬£¬Æ¾Ö¤ÉúÒâ°ü¹Ü½ðµ¥±ß½Ï´óÕßÊÕÈ¡ÉúÒâ°ü¹Ü½ð¡£¡£¡£¡£¡£¡£ÉÏÊе±ÈÕ¸÷ºÏÔ¼µÄÕǵøÍ£°å·ù¶ÈΪ¹ÒÅÌ»ù×¼¼ÛµÄ¡À7%¡£¡£¡£¡£¡£¡£

ËÄ¡¢Ïà¹ØÓöÈ

30ÄêÆÚ¹úÕ®ÆÚ»õºÏÔ¼µÄÊÖÐø·Ñ±ê×¼Ôݶ¨ÎªÃ¿ÊÖ3Ôª £¬£¬£¬£¬£¬£¬Æ½½ñ²ÖÉúÒâÃâÊÕÊÖÐø·Ñ £¬£¬£¬£¬£¬£¬½»¸îÊÖÐø·Ñ±ê׼ΪÿÊÖ5Ôª £¬£¬£¬£¬£¬£¬½»¸îÊÖÐø·ÑÖÁ2023Äê12ÔÂ31ÈÕÖ¹¼õ°ëÊÕÈ¡¡£¡£¡£¡£¡£¡£ÉúÒâËùÓÐȨƾ֤Êг¡ÔËÐÐÇéÐεÐÊÖÐø·Ñ±ê×¼¾ÙÐе÷½â¡£¡£¡£¡£¡£¡£

Îå¡¢ÉúÒâÖ¸Áîÿ´Î×î´óϵ¥ÊýÄ¿

30ÄêÆÚ¹úÕ®ÆÚ»õ¸÷ºÏÔ¼ÏÞ¼ÛÖ¸Áîÿ´Î×î´óϵ¥ÊýĿΪ50ÊÖ £¬£¬£¬£¬£¬£¬ÊмÛÖ¸Áîÿ´Î×î´óϵ¥ÊýĿΪ30ÊÖ¡£¡£¡£¡£¡£¡£

Áù¡¢¿É½»¸î¹úÕ®¡¢×ª»»Òò×Ó¼°Ó¦¼ÆÀûÏ¢

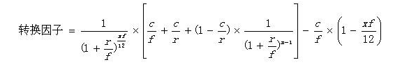
30ÄêÆÚ¹úÕ®ÆÚ»õ¸÷ºÏÔ¼µÄ¿É½»¸î¹úÕ®ºÍת»»Òò×ÓÓÉÉúÒâËùÔÚºÏÔ¼ÉÏÊÐÉúÒâǰÐû²¼¡£¡£¡£¡£¡£¡£Æäת»»Òò×ÓÅÌË㹫ʽÈçÏ£º

 suncitygroupÌ«Ñô¼¯ÍÅ--¹Ù·½ÍøÕ¾

ÆäÖÐ £¬£¬£¬£¬£¬£¬r£º30ÄêÆÚ¹úÕ®ÆÚ»õºÏÔ¼Æ±ÃæÀûÂÊ3% £» £»£»£»£»£»

x£º½»¸îÔµ½ÏÂÒ»¸¶Ï¢ÔµÄÔ·ÝÊý £» £»£»£»£»£»

n£ºÊ£ÓึϢ´ÎÊý £» £»£»£»£»£»

c£º¿É½»¸î¹úÕ®µÄÆ±ÃæÀûÂÊ £» £»£»£»£»£»

f£º¿É½»¸î¹úծÿÄêµÄ¸¶Ï¢´ÎÊý¡£¡£¡£¡£¡£¡£

ÅÌËãЧ¹ûËÄÉáÎåÈëÖÁСÊýµãºó4λ¡£¡£¡£¡£¡£¡£

ÆäÓ¦¼ÆÀûÏ¢µÄÈÕ¼ÆÊý»ù׼Ϊ¡°ÏÖʵÌìÊý/ÏÖʵÌìÊý¡± £¬£¬£¬£¬£¬£¬¼´Ã¿100Ôª¿É½»¸î¹úÕ®µÄÓ¦¼ÆÀûÏ¢ÅÌË㹫ʽÈçÏ£º

suncitygroupÌ«Ñô¼¯ÍÅ--¹Ù·½ÍøÕ¾

Ó¦¼ÆÀûÏ¢=(¿É½»¸î¹úÕ®Æ±ÃæÀûÂÊ¡Á100)/ÿÄ긶Ϣ´ÎÊý¡Á(µÚ¶þ½»¸îÈÕ-ÉÏÒ»¸¶Ï¢ÈÕ)/Ä¿½ñ¸¶Ï¢ÖÜÆÚÏÖʵÌìÊý

ÅÌËãЧ¹ûËÄÉáÎåÈëÖÁСÊýµãºó7λ¡£¡£¡£¡£¡£¡£

Æß¡¢×öÊÐÉֲ̳ÖÏÞ¶î

×öÊÐÉÌËùÓÐÔ·Ý30ÄêÆÚ¹úÕ®ÆÚ»õºÏÔ¼µ¥±ß³Ö²ÖÏÞ¶îΪ6000ÊÖ £¬£¬£¬£¬£¬£¬Ä³Ò»ºÏÔ¼ÔÚ½»¸îÔ·Ý֮ǰµÄÒ»¸öÉúÒâÈÕÆð £¬£¬£¬£¬£¬£¬µ¥±ß³Ö²ÖÏÞ¶îΪ1200ÊÖ¡£¡£¡£¡£¡£¡£

30ÄêÆÚ¹úÕ®ÆÚ»õºÏÔ¼ÉÏÊÐÉúÒâÆäËûÊÂÏîÁíÐÐÐû²¼¡£¡£¡£¡£¡£¡£

¸÷»áÔ±µ¥Î»ÒªÈÏÕæ×öºÃ30ÄêÆÚ¹úÕ®ÆÚ»õºÏÔ¼ÉÏÊÐÉúÒâµÄ¸÷Ïî×¼±¸ÊÂÇé £¬£¬£¬£¬£¬£¬ÑÏ¿á¿ØÖÆÊг¡Î£º¦ £¬£¬£¬£¬£¬£¬È·±£30ÄêÆÚ¹úÕ®ÆÚ»õƽÎÈÍÆ³öºÍÇå¾²ÔËÐС£¡£¡£¡£¡£¡£

ÌØ´Ë֪ͨ¡£¡£¡£¡£¡£¡£

                                                    ¡¡

Öйú½ðÈÚÆÚ»õÉúÒâËù

2023Äê4ÔÂ14ÈÕ

¡¾ÍøÕ¾µØÍ¼¡¿¡¾sitemap¡¿